Overview of project B07
Unifying Theoretical Description of Relaxation in Electron Systems
The project aims at theoretically understanding the complex many-body dynamics in electronic systems driven by an external stimulus. The coupling strengths to the available relaxation channels govern which relaxation mechanism is the dominating one. This may change from stage to stage of the equilibration process after the stimulus. It may, furthermore, differ from system to system. The aim of this project is to develop a comprehensive picture of these relaxation phenomena by intertwining different theoretical approaches. This will be achieved by collaborative development and application of methods interfacing the sub-disciplines of the PIs.
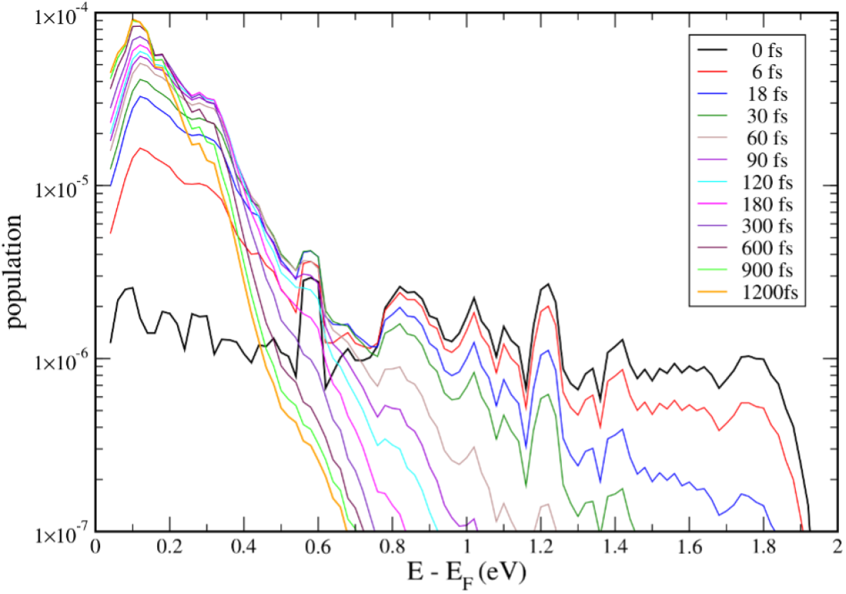
Figure: Energy distribution of hot electrons in a Pb/Si(111) thin film at various time steps (in femtoseconds, fs) after excitation by a laser pulse
Publications
2026
Jan Verlage and Peter Kratzer
Bound States at Semiconductor–Mott Insulator Interfaces
Phys. Rev. B 113, 045110 (2026)
DOI: 10.1103/ywd2-bh2w
Lukas Litzba
Data from the Figures in the Article "Coupling-Energy Driven Pumping Through Quantum Dots: The Role of Coherences"
113, (2026)
DOI: 10.71955/DUEDATA-2026-18LQAK
2025
Lukas Litzba, Eric Kleinherbers, Jürgen König, Ralf Schützhold and Nikodem Szpak
Effective Time-Dependent Temperature for Fermionic Master Equations beyond the Markov and the Secular Approximations
Phys. Rev. B 111, 085103 (2025)
DOI: 10.1103/PhysRevB.111.085103
Gernot Schaller, Friedemann Queisser, S.P. Katoorani, Christian Brand, Christian Kohlfürst, Mark R. Freeman, Alfred Hucht, Peter Kratzer, Björn Sothmann, Michael Horn-von Hoegen and Ralf Schützhold
Kibble-Zurek Dynamics in the Anisotropic Ising Model of the Si(001) Surface
Phys. Rev. Lett. 134, 246202 (2025)
DOI: 10.1103/rmc4-xqb3
Jan Verlage and Peter Kratzer
Transmission through Multiple Mott Insulator-Semiconductor Wells
Phys. Rev. B 111, 195158 (2025)
DOI: 10.1103/PhysRevB.111.195158
F Queisser, K Krutitsky, P Navez and R Schützhold
Doublon–Holon Pair Creation in Mott–Hubbard Systems in Analogy to QED
New J. Phys. 27, 023030 (2025)
DOI: 10.1088/1367-2630/adaf4e
2024
Christian Brand, Alfred Hucht, Hamid Mehdipour, Giriraj Jnawali, Jonas D. Fortmann, Mohammad Tajik, Rüdiger Hild, Björn Sothmann, Peter Kratzer, Ralf Schützhold and Michael Horn-von Hoegen
Critical Behavior of the Dimerized Si(001) Surface: Continuous Order-Disorder Phase Transition in the Two-Dimensional Ising Universality Class
Phys. Rev. B 109, 134104 (2024)
DOI: 10.1103/PhysRevB.109.134104
Nikodem Szpak, Gernot Schaller, Ralf Schützhold and Jürgen König
Relaxation to Persistent Currents in a Hubbard Trimer Coupled to Fermionic Baths
Phys. Rev. B 110, 115131 (2024)
DOI: 10.1103/PhysRevB.110.115131
Friedemann Queisser and Ralf Schützhold
Higher-harmonic generation in the driven Mott-Hubbard model
Phys. Rev. B 109, 205110 (2024)
DOI: 10.1103/PhysRevB.109.205110
Jan Verlage, Friedemann Queisser, Nikodem Szpak, Jürgen König, Peter Kratzer and Ralf Schützhold
Quasi-Particle Propagation Across Semiconductor–Mott Insulator Interfaces
Int. J. Theo. Phys. 63, 285 (2024)
DOI: 10.1007/s10773-024-05814-5
H. Pfnür, C. Tegenkamp, S. Sanna, E. Jeckelmann, Michael Horn-von Hoegen, Uwe Bovensiepen, N. Esser, W.G. Schmidt, M. Dähne, S. Wippermann, F. Bechstedt, M. Bode, R. Claessen, R. Ernstorfer, C. Hogan, M. Ligges, A. Pucci, J. Schäfer, E. Speiser, M. Wolf and J. Wollschläger
Atomic Wires on Substrates: Physics between One and Two Dimensions
Surf. Sci. Rep. 79, 100629 (2024)
DOI: 10.1016/j.surfrep.2024.100629
Daniil Ryndyk, Christian Kohlfürst, Friedemann Queisser and Ralf Schützhold
Dynamically Assisted Tunneling in the Floquet Picture
Phys. Rev. Research 6, 023056 (2024)
DOI: 10.1103/PhysRevResearch.6.023056
Andreas Weitzel, Gernot Schaller, Friedemann Queisser, Ralf Schützhold
Continuous Dimer Angles on the Silicon Surface: Critical Properties and the Kibble-Zurek Mechanism
Phys. Rev. B 110, 245125 (2024)
DOI: 10.1103/PhysRevB.110.245125
2023
Christian Brand, Alfred Hucht, Giriraj Jnawali, Jonas D. Fortmann, Björn Sothmann, Hamid Mehdipour, Peter Kratzer, Ralf Schützhold and Michael Horn-von Hoegen
Dimer Coupling Energies of the Si(001) Surface
Phys. Rev. Lett. 130, 126203 (2023)
DOI: 10.1103/PhysRevLett.130.126203
Eric Kleinherbers, Thomas Stegmann and Nikodem Szpak
Electronic Transport in Bent Carbon Nanotubes
Phys. Rev. B 107, 195424 (2023)
DOI: 10.1103/PhysRevB.107.195424
F. Queisser, G. Schaller and R. Schützhold
Attraction versus Repulsion between Doublons or Holons in Mott-Hubbard Systems
Int. J. Theor. Phys. 62, 239 (2023)
DOI: 10.1007/s10773-023-05484-9
2022
G. Schaller, Friedemann Queisser, Nikodem Szpak, Jürgen König and Ralf Schützhold
Environment-Induced Decay Dynamics of Antiferromagnetic Order in Mott-Hubbard Systems
Phys. Rev. B 105, 115139 (2022)
DOI: 10.1103/PhysRevB.105.115139
Naser Ahmadiniaz, Martin Paul Geller, Jürgen König, Peter Kratzer, Axel Lorke, Gernot Schaller and R. Schützhold
Quantum Zeno Manipulation of Quantum Dots
Phys. Rev. Research 4, L032045 (2022)
DOI: 10.1103/PhysRevResearch.4.L032045
Walter Ortiz, Nikodem Szpak and Thomas Stegmann
Graphene Nanoelectromechanical Systems as Valleytronic Devices
Phys. Rev. B 106, 035416 (2022)
DOI: 10.1103/PhysRevB.106.035416
2021
Eric Kleinherbers, Philipp Stegmann and Jürgen König
Synchronized Coherent Charge Oscillations in Coupled Double Quantum Dots
Phys. Rev. B 104, 165304 (2021)
DOI: 10.1103/PhysRevB.104.165304
Emmanuel Paredes-Rocha, Yonatan Betancur-Ocampo, Nikodem Szpak and Thomas Stegmann
Gradient-Index Electron Optics in Graphene p-n Junctions
Phys. Rev. B 103, 045404 (2021)
DOI: 10.1103/PhysRevB.103.045404
Dennis Rätzel and Ralf Schützhold
Decay of Quantum Sensitivity Due to Three-Body Loss in Bose-Einstein Condensates
Phys. Rev. A 103, 063321 (2021)
DOI: 10.1103/PhysRevA.103.063321
Christian Kohlfürst, Friedemann Queisser and Ralf Schützhold
Dynamically Assisted Tunneling in the Impulse Regime
Phys. Rev. Research 3, 033153 (2021)
DOI: 10.1103/PhysRevResearch.3.033153
N. Ahmadiniaz, Michael H. Bussmann, Thomas E. Cowan, Alexander D. Debus, Thomas Kluge and Ralf Schützhold
Observability of Coulomb-Assisted Quantum Vacuum Birefringence
Phys. Rev. D 104, L011902 (2021)
DOI: 10.1103/PhysRevD.104.L011902
2020
Philipp Stegmann, Jürgen König and Björn Sothmann
Relaxation Dynamics in Double-Spin Systems
Phys. Rev. B 101, 075411 (2020)
DOI: 10.1103/PhysRevB.101.075411
Eric Kleinherbers, Nikodem Szpak, Jürgen König and Ralf Schützhold
Relaxation Dynamics in a Hubbard Dimer Coupled to Fermionic Baths: Phenomenological Description and its Microscopic Foundation
Phys. Rev. B 101, 125131 (2020)
DOI: 10.1103/PhysRevB.101.125131
Naser Ahmadiniaz, T. E. Cowan, R. Sauerbrey, Ulrich Schramm, Hans-Peter Schlenvoigt and Ralf Schützhold
Heisenberg Limit for Detecting Vacuum Birefringence
Phys. Rev. D 101, 116019 (2020)
DOI: 10.1103/PhysRevD.101.116019
Matthias Wittemer, Jan-Philipp Schröder, Frederick Hakelberg, Philip Kiefer, Christian Fey, Ralf Schützhold, Ulrich Warring and Tobias Schaetz
Trapped-Ion Toolkit for Studies of Quantum Harmonic Oscillators under Extreme Conditions: Playback of Extreme Conditions
Phil. Trans. Roy. Soc. London, Ser. A 378, 0230 (2020)
DOI: 10.1098/rsta.2019.0230
2019
Friedemann Queisser and Ralf Schützhold
Environment-Induced Prerelaxation in the Mott-Hubbard Model
Phys. Rev. B 99, 155110 (2019)
DOI: 10.1103/PhysRevB.99.155110
Johannes Oertel and Ralf Schützhold
WKB Approach to Pair Creation in Spacetime-Dependent Fields: The Case of a Spacetime-Dependent Mass
Phys. Rev. D 99, 125014 (2019)
DOI: 10.1103/PhysRevD.99.125014
Leonhard Klar, Nikodem Szpak and Ralf Schützhold
Quantum Simulation of Spontaneous Pair Creation in 2D Optical Lattices
https://arxiv.org/abs/1901.09880
Nikodem Szpak and Ralf Schützhold
Time Reversal and Quantum Loschmidt Echo in Optical Lattices
https://arxiv.org/abs/1901.05941
Sascha Lang and Ralf Schützhold
Analog of Cosmological Particle Creation in Electromagnetic Waveguides
Phys. Rev. D 100, 065003 (2019)
DOI: 10.1103/PhysRevD.100.065003
Matthias Wittemer, Frederick Hakelberg, Philip Kiefer, Jan-Philipp Schröder, Christian Fey, Ralf Schützhold, Ulrich Warring and Tobias Schaetz
Phonon Pair Creation by Inflating Quantum Fluctuations in an Ion Trap
Phys. Rev. Lett. 123, 180502 (2019)
DOI: 10.1103/PhysRevLett.123.180502
Friedemann Queisser, Sebastian Schreiber, Peter Kratzer and Ralf Schützhold
Boltzmann Relaxation Dynamics of Strongly Interacting Spinless Fermions on a Lattice
Phys. Rev. B 100, 245110 (2019)
DOI: 10.1103/PhysRevB.100.245110
Friedemann Queisser and Ralf Schützhold
Dynamically Assisted Nuclear Fusion
Phys. Rev. C 100, 041601 (2019)
DOI: 10.1103/PhysRevC.100.041601
2018
Malte F. Linder, Axel Lorke and Ralf Schützhold
Analog Sauter-Schwinger Effect in Semiconductors for Spacetime-Dependent Fields
Phys. Rev. B 97, 035203 (2018)
DOI: 10.1103/PhysRevB.97.035203
Thomas Stegmann and Nikodem Szpak
Current Splitting and Valley Plarization in Elastically Deformed Graphene
2D Materials 6, 015024 (2018)
DOI: 10.1088/2053-1583/aaea8d
Sebastian Gartzke and Andreas Osterloh
Generalized W State of Four Qubits with Exclusively the Three-Tangle
Phys. Rev. A 98, 052307 (2018)
DOI: 10.1103/PhysRevA.98.052307
Christian Fey, Tobias Schaetz and Ralf Schützhold
Ion-trap Analog of Particle Creation in Cosmology
Phys. Rev. A 98, 032704 (2018)
DOI: 10.1103/PhysRevA.98.033407
2017
Andreas Osterloh and Ralf Schützhold
Four-Concurrence in the Transverse XY Spin-½ Chain
Phys. Rev. A 96, 012331 (2017)
DOI: 10.1103/PhysRevA.96.012331
Jens Sonntag, Annika Kurzmann, Martin Paul Geller, Friedemann Queisser, Axel Lorke and Ralf Schützhold
Giant Magneto-Photoelectric Effect in Suspended Graphene
New J. Phys. 19, 063028 (2017)
DOI: 10.1088/1367-2630/aa739d
Konstantin Krutitsky, Andreas Osterloh and Ralf Schützhold
Avalanche of Entanglement and Correlations at Quantum Phase Transitions
Sci. Rep. 7, 3634 (2017)
DOI: 10.1038/s41598-017-03402-8
