3. Reactions with main group metal complexes
3. Reactions with main group metal complexes
(ddp)M (M = Al, Ga, In) were found to show promising capabilities in metal-carbon bond insertion reactions. For instance, (ddp)Ga readily reacts with Et3In with formation of (ddp)EtGaInEt2 containing a Ga-In bond and both group 13 metal in the formal oxidation state +2. At elevvated temperatures, (ddp)EtGaInEt2 decomposes with formation of elemental indium and Et3In, most likely via formation of a monovalent InREt species.[12]
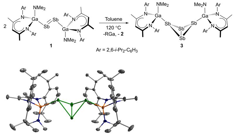
In addition to metal-carbon insertion reactions, reactions with group 15 metal amides were also investigated. (ddp)Ga reacts with Sb(NMe2)3 with insertion into the Sb-N bond and elimination of (ddp)Ga(NMe2)2, yielding the gallium-substituted distibene [(ddp)(NMe2)GaSb]2 1.[14]
Thermolysis of 1 proceeded with elimination of (ddp)Ga and (ddp)Ga(NMe2)2 and subsequent formation of the bicyclo[1,1,0]butane analogue [(ddp)(NMe2)Ga]2Sb4 3.[14]
Finally, (ddp)M (M = Al, Ga) were shown to react with low-valent group 15 compounds with insertion into the metal-metal bond. (ddp)Al reacts with E2Et4 (E = Sb, Bi) with subsequent formation of (ddp)Al(EEt2)2, while the analogues reactions of (ddp)Ga with E2Et4 yield a temperature-dependent equilibrium between (ddp)Ga(EEt2)2 and the starting material.[15]
A comparable reaction was observed for m(ddp)Ga with monvalent group 16 compounds such as Ph2Te2, which also occurred with insertion into the Te-Te bond, while the reaction with i-Pr2Te proceeded with insertion into the Te-C bond.[16]
References
[1] Siehe folgende Übersichtsartikel: a) C. Dohmeier, D. Loos, H. Schnöckel, Angew. Chem. Int. Ed. 1996, 35, 129; b) G. Linti, H. Schnöckel, Coord. Chem. Rev. 2000, 206, 285, c) W. Uhl, Coord. Chem. Rev. 1997, 163, 1; d) W. Uhl, Adv. Organomet. Chem. 2004, 51, 53.
[2] a) C. L. B. Macdonald, A. H. Cowley, J. Am. Chem. Soc. 1999, 121, 12113; b) A. Y. Timoshkin, G. Frenking J. Am. Chem. Soc. 2002, 124, 7240.
[3] a) A. H. Cowley, J. Chem. Soc. Chem. Commun. 2004, 2369; b) G. Frenking, J. Organomet. Chem. 2001, 635, 9; c) C. Gemel, T. Steinke, M. Cokoja, A. Kempter, R. A. Fischer, Eur. J. Inorg. Chem. 2004, 4161; d) M. T. Gamer, P. W. Roesky, S. N. Konchenko, P. Nava, R. Ahlrichs, Angew. Chem. Int. Ed. 2006, 45, 4447; e) X.-J. Yang, Y. Wang, B. Quillian, P. Wei, Z. Chen, P. v. R. Schleyer, G. H. Robinson, Organometallics 2006, 25, 925.
[4] P. P. Power, Nature, 2010, 463, 171.
[5] S. Schulz, A. Kuczkowski, D. Schuchmann, U. Flörke, M. Nieger, Organometallics 2006, 25, 5487.
[6] J. D. Gorden, C. L. B. MacDonald, A. H. Cowley, J. Chem. Soc. Chem. Commun. 2001, 75.
[7] K. M. Wagonner, H. Hope, P. P. Power, Angew. Chem. Int. Ed. 1988, 27, 1699.
[8] S. Schulz, L. Häming, R. Herbst-Irmer, H. W. Roesky, G. M. Sheldrick, Angew. Chem., Int. Ed. Engl. 1994, 33, 969. (b) J. D. Fisher, P. J. Shapiro, G. P. A. Yap, A. L. Rheingold, Inorg. Chem. 1996, 35, 271. (c) R. J. Wehmschulte, P. P. Power, J. Am. Chem. Soc. 1996, 118, 791. (d) S. Schulz, A. Voigt, H. W. Roesky, L. Häming, R. Herbst-Irmer, Organometallics 1996, 15, 5252. (e) R. J. Wehmschulte, P. P. Power, Inorg. Chem. 1998, 37, 6906. (f) W. Uhl, J. Molter, R. Koch, Eur. J. Inorg. Chem. 1999, 2021.
[9] S. Schulz, F. Thomas, W. Priesmann, M. Nieger, Organometallics 2006, 25, 1392.
[10] L. Bourget-Merle, M. F. Lappert, J. R. Severn, Chem. Rev. 2002, 102, 3031.
[11] a) C. Cui, H. W. Roesky, H.-G. Schmidt, M. Noltemeyer, H. Hao, F. Cimpoesu, Angew. Chem. Int. Ed. 2000, 39, 4274–4276, b) N. J. Hardman, B. E. Eichler, P. P. Power, Chem. Comm. 2000, 1991–1992; c) M. S. Hill, P. B. Hitchcock, Chem. Comm. 2004, 1818.
[12] C. Ganesamoorthy, D. Bläser, C. Wölper, S. Schulz, Organometallics 2015, 34, 2991.
[13] C. Ganesamoorthy, D. Bläser, C. Wölper, S. Schulz, Chem. Comm. 2014, 50, 12382.
[14] L. Tuscher, C. Ganesamoorthy, D. Bläser, C. Wölper, S. Schulz, Angew. Chem. 2015, 127, 10803; Angew. Chem. Int. Ed. 2015, 54, 10657.
[15] a) C. Ganesamoorthy, D. Bläser, C. Wölper, S. Schulz, Angew. Chem. 2014, 126, 11771; Angew. Chem. Int. Ed. 2014, 53, 1158.
[16] S. Schulz, C. Ganesamoorty, G. Bendt, D. Bläser, C. Wölper Dalton Trans., 2015, 44, 5153.
Go back: Low-valent group 13 compounds





